uniboard.ch uniboard.ch Registrieren
Du studierst, aber hast noch keinen User-Account<br /> auf dem uniboard.ch?

Du studierst, aber hast noch keinen User-Account
auf dem uniboard.ch?

Registrieren Kein/e Student/in? Probleme bei der Registrierung?
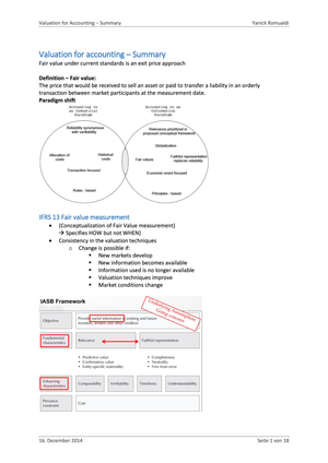
uniboard.ch Downloads Studium Universität St. Gallen (HSG) Master HSG Weitere Veranstaltungen & Nützliches Valuation for Accounting Zusammenfassung Valuation for Accounting Zusammenfassung

Valuation for Accounting Zusammenfassung

Valuation for Accounting Zusammenfassung
Semester
Kategorie
Zusammenfassung
Uploader
Fischchnusperli
Autor
Unbekannt
Hinzugefügt
21.12.2015
Dateigrösse
3.40 MB
Downloads
19
Datei herunterladen

Valuation for Accounting Zusammenfassung