uniboard.ch uniboard.ch Registrieren
Du studierst, aber hast noch keinen User-Account<br /> auf dem uniboard.ch?

Du studierst, aber hast noch keinen User-Account
auf dem uniboard.ch?

Registrieren Kein/e Student/in? Probleme bei der Registrierung?
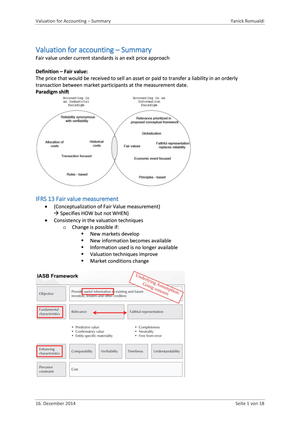
uniboard.ch Downloads Studium Universität St. Gallen (HSG) Master HSG Valuation for Accounting Summary HS14 Summary HS14

Summary HS14

Summary HS14
Semester
HS14
Kategorie
Zusammenfassung
Uploader
HSG Songwriter
Autor
Unbekannt
Hinzugefügt
06.01.2019
Dateigrösse
3.40 MB
Downloads
44
Datei herunterladen

Summary HS14