uniboard.ch uniboard.ch Registrieren
Du studierst, aber hast noch keinen User-Account<br /> auf dem uniboard.ch?

Du studierst, aber hast noch keinen User-Account
auf dem uniboard.ch?

Registrieren Kein/e Student/in? Probleme bei der Registrierung?
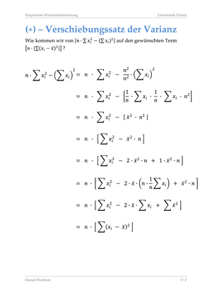
uniboard.ch Downloads Studium Universität Zürich (UZH) Wirtschaftswissenschaftliche Fakultät UZH Einführung in die empirische Wirtschaftsforschung (V+Ü) (Introductory Econometrics) EWF Verschiebungssatz der Varianz EWF Verschiebungssatz der Varianz

EWF Verschiebungssatz der Varianz

EWF Verschiebungssatz der Varianz
Semester
Kategorie
Skript
Uploader
Anonym
Autor
Unbekannt
Hinzugefügt
16.12.2017
Dateigrösse
327.7 KB
Downloads
83
Datei herunterladen

EWF Verschiebungssatz der Varianz